NDSU Geology 428/628 Geochemistry

Sample Questions for Exam 2 and topics to study:

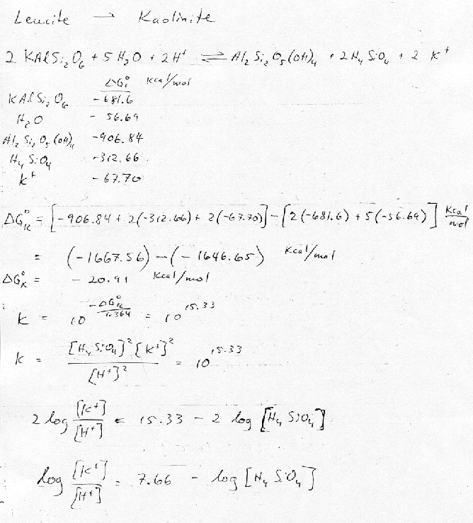
1. Calculate K for the weathering reaction of leucite (KAlSi2O6) to kaolinite, using delta-G°f values in the appendix of Faure. Assume excess silica exists in solution as silicic acid H4SiO4. Derive the equation of the equilibrium line for this reaction, where the y-axis is log ([K+]/[H+]) and the x-axis is log [H4SiO4].

2. Predict what will happen with regard to calcite when:
a) CO2(g)- enriched groundwater emerges as a spring at the Earth's surface.
b) rainwater percolating through soil equilibrates with CO2(g) at a higher partial pressure of CO2(g) than exists in the atmosphere.

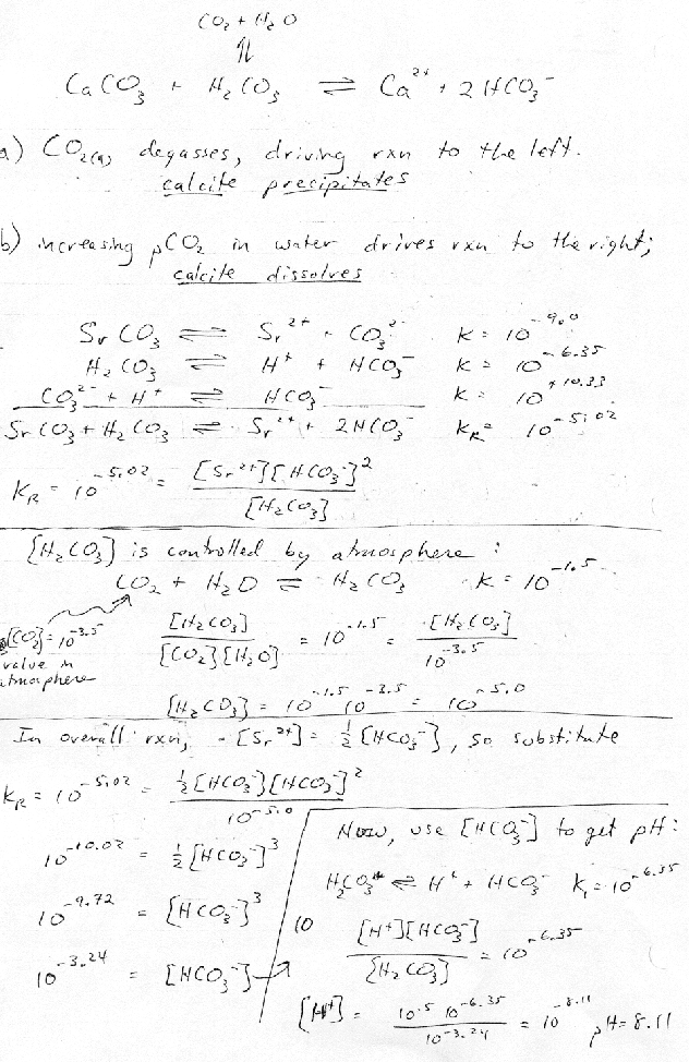
3. What is the pH of a puddle of water on top of an outcrop of strontianite (SrCO3)?

4. Calculate the change in aqueous solubility of a substance with change in temperature. (Apply the Van't Hoff equation).

Topics:

- Review concepts related to fugacity (Faure, sec 12.5). - Understand and be able to interpret basic output from the program PHREEQ and its variants

Answers to questions 1-3:page 1, page 2.

Back to Geochemistry Home Page